La topologia delle proprietà ontologiche
-
Cristian Rossi
- 06 Sep, 2023
- 34 Mins read
GRAFI DI PROPRIETÀ
Qualsiasi inferenza, proposizione, è una teoria, poiché ne descrive l'essere per mezzo delle sue proprietà. In tal senso è persino possibile implicitare le correlazioni logiche, andando a definire come ogni proprietà sia in realtà implicata all'altra per la gerarchia narrativa della lingua, in questo caso italiana. "Il cane mangia il pollo" può essere scomposto in "il-cane-mangia-il-pollo", così che venga definita come inferenza unica e possa essere correlata alle altre, al cui livello sottostante può essere scomposta in "il cane", "mangia" e "il pollo". Gli articoli determinativi esplicano dell'essere solamente il fatto che siano dei sostantivi e pertanto, essendo una questione più correlata al riconoscimento di essi, in un contesto ontologico si possono anche omettere, facendo diventare la frase "cane mangia pollo", che seppur mantenga una formalità narrativa da cavernicolo, mantiene il significato della frase. La correlazione tra l'esistenza cane e l'esistenza pollo viene determinata da una relazione di atto che è il verbo "mangiare". Tuttavia questo "mangiare" non è altro che una teoria che descrive un'interazione tra le esistenze, cosa che permette di trattare i verbi come proprietà e le proprietà come verbi. Esiste per esempio il "mangiare" inteso come cibo e il "mangiare" inteso come atto di mangiare. Chi mangia è chiunque sia disposto a farlo per mezzo di una teoria che ne descrive l'operatività. L'unico verbo che può essere contratto perché descrive altresì tutte le proprietà stesse, è l'essere. La frase "la casa è bella" io potrei asserire un'implicazione logica (dopo avere ritenuto casa-è-bella) tra "casa", "è" e "bella", ma poiché si rende necessario dare un contesto ontologico alle proprietà, l'unica proprietà il cui significato deve agire sul metodo è quella dell'essere. Pertanto "la casa è bella" diventa bella(casa), cioè che la proprietà "bella" è della proprietà "casa". Questo significa oltretutto che a livello insiemistico l'insieme "bella" viene espresso all'interno dell'insieme casa. Prima di passare alla questione effettiva circa la formalizzazione di ciò che costituirà la teoria dei grafi a livello ontologico, vorrei fare una distinzione tra i tre tipi di proprietà riscontrati fino ad oggi:
- Il caso classico (ontologico): "il cane è bello" significa che l'essere si esprime tramite le proprietà del cane e nello specifico dall'inclusione di tali proprietà con la proprietà di essere bello, andando a definire pertanto bello(cane). Il principio vuole che la prima proprietà è un insieme, un aggregato di proprietà più grande rispetto alla seconda proprietà, che invece viene soltanto inclusa nelle proprietà della prima proprietà, che è un aggregato.
- Il caso estensivo: non significa che il cane è una proprietà di Mario, altrimenti Mario sarebbe un cane e pertanto la preposizione "di" gioca un ruolo fondamentale nello specificare un aspetto "nuovo" per quanto riguarda l'ontologia, cioè che nonostante vi sia un'esistenza che sia una proprietà di un'altra esistenza, è anche vero che questa proprietà non definisce in che modo l'esistenza stessa è caratterizzata, ma esprime un insieme di strumenti che sono in una funzione esclusivamente d'uso. Dunque si tratta di una finta proprietà. Un caso sottile riguarderebbe tuttavia magari per esempio gli arti meccanici, oppure la perdita di piccolezze rispetto al proprio corpo, andando a definire come non vi sia in realtà una linea di confine tra il soggetto e l'oggetto, ma di come sia una€ distinzione esclusivamente narrativa. Quando si va a definire un'esistenza e le sue estensioni pertanto si tratta in realtà solo di un mito? Diciamo di sì, ma questa proprietà di essere s-oggetto è ovviamente fallacea e pertanto si può argomentare come segue: Si dovrebbe dire, per "il cane è di Mario", che l'essere si esprime attraverso il cane che è di Mario. L'essere però non dispone di intenzionalità e pertanto non può usare Mario, poiché la sua proprietà estensiva è unicamente il caso di una storicità dell'essere che comprende sé stesso. L'essere non decide ma presenta nella sua storicità delle emersioni o delle immersioni (esplicitazioni o implicitazioni dalla potenza) e ciò che regola questo flusso è unicamente l'energia, la quale si presenta universalmente in diversi modi e ne caratterizza la probabilità di esplicitazione o di implicitazione. Dunque la proprietà estensiva dovrebbe essere intesa con argomentazioni teoriche proprio rispetto al "di", che in tal caso verrebbe lasciato nella frase come ciò che è, una preposizione: cane(di(Mario)). La proprietà estensiva riguarda tutte le esistenze dotate di temporalità e dunque di spaziotemporalità, nonché tutte le esistenze che possono emettere o microonde gravitazionali (per quel che ne sappiamo oggi e quindi massa) o fotoni. Vi sono esistenze prive di temporalità, come ad esempio la dialettica stessa (non la sua narrazione specifica, che è proprio ciò che conferisce la temporalità), l'esistenza dell'essere, i numeri, le figure geometriche e probabilmente (andrebbe dimostrato) anche gli archetipi ontologici, nonché gli stessi operatori logici, che sono inclusi comunque nel discorso dialettico e che conferiscono pertanto la storicità all'essere. "Il cane di Mario" pertanto non esprime una proprietà, ma una relazione. Possedere(Mario, cane) dovrebbe essere la formalizzazione corretta. Le proprietà estensive sono una formalizzazione errata proprio perché non riescono a cogliere l'elemento relazionale della frase. Quindi il "di" quando indica possesso sta ad indicare una relazione. Le relazioni sono predicati a più posti, le proprietà sono predicari ad un posto. Per quanto riguarda le piante verdi invece, esiste un unico determinato, le piante verdi, che poi può essere scomposto in piante e in verdi. Tuttavia,volendo eliminare le relazioni al fine di ridurre il tutto a proprietà o ad aggregati di proprietà, cioè a teorie, possiamo dire che il "possesso" o il "di" sono proprietà che dispongono di una teoria. Il "possedere" è un atto che ha la stessa valenza ontologica di qualsiasi altro verbo (che può essere convertito in sostantivo) e pertanto così potrebbe essere argomentato, tanto che ci sono molti testi di filosofia che hanno discusso di questo argomento (della proprietà intesa come possedimento). Volendo optare per ridurre il tutto ai minimi termini pertanto offro qui la soluzione di indicare semplicemente il "di" come come una qualsiasi proprietà che implicita una teoria: Mario(di(cane)), che si legge che il cane dispone di una proprietà di possedimento esplicitata dal "di", il cui proprietario è Mario. Possibili implementazioni di relazioni a due posti sono possibili, ma lo stesso discorso potrebbe essere applicato a tutti i termini della lingua italian o estera, portando ad una maggiore complessità.
- Il caso superlativo: nel senso che spesso per proprietà si intende il vero e proprio soggetto, un insieme di esistenze che hanno più esistenza di altre per motivi derivati dalla metafisica, come tutti i sostantivi che iniziano con la maiuscola. È una distinzione che nel 2023 dovrebbe decadere dato che la filosofia si è evoluta molto da Kant. Il nome Mario, è un nome proprio e questo lo rende "più esistente" (per questo l'ho definito superlativo: si definisce una sorta di super-essere) rispetto ad altre esistenze poiché dotato di soggettività. Ma è falso dire che qualcosa esiste più di qualcos'altro, non è che Mario esiste più di un bicchiere. Mario ed il bicchiere esistono come aggregati di proprietà alla stessa maniera. Uno può avere più aggregati di un altro, ma ciò non gli conferisce più esistenza, poiché l'esistenza non è quantificabile: più esistenze significa asserire una proprietà tale per cui esiste una determinata quantità, e qui è la quantità ad esistere. Non è l'essere ad essere molti, ma è l'essere a disporre della proprietà di potere riconoscere per ciascuna esistenza un insieme di proprietà tali per cui siano ripetute e pertanto riconosciute per ripetizione rispetto ad una misura per indicali (numeri) più un'eventuale unità di misura. Per questo si parla unicamente di differenziazioni rispetto all'esistenza e non di esistenze inteso in senso stretto.
Rispetto al caso 1 possiamo formalizzare la questione in un grafo, come abbiamo già potuto notare: "il cane è bello" diventa "cane→bello", semplicemente, poiché il cane implica l'avere la proprietà di essere bello. Vi potranno essere anche cani brutti, ma non c'è alcuna teoria che contraddica la possibilità di avere cani o cani belli o cani brutti, e se c'è dovrebbe essere esplicata ed integrata come grafo. Al posto delle parentesi è anche possibile usare il simbolo logico di sottoinsieme improprio e di conseguenza il simbolo ⊆. "Il cane è bello" è stato fino ad ora bello(cane), tuttavia propongo anche di definirlo come bello⊆cane. La regola è che se A={1,2,3,4} e B={2,4} allora B⊆A. Altrimenti si potrebbe usare, per rispecchiare l'ordine sintattico, il simbolo di superinsieme, quindi:
A⊇B ovvero cane⊇bello
Di seguito un esempio che dimostrerà come le parentesi sono molto meno esplicative in termini di semiotica rispetto al simbolo di superinsieme. La frase in linguaggio naturale, in italiano:
"L'energia luminosa solare è convertita in energia chimica attraverso il processo di fotosintesi clorofilliana nelle piante verdi".
La frase come blocco unico, nonché come relazione di proprietà, la quale potrebbe essere suddivisa anche in più blocchi, a seconda delle possibilità permutative delle parti (qui non lo mostro, anche perché l'utilità di questo processo svia dal contesto della dimostrazione):
energia-luminosa-solare-convertita-in-energia-chimica-attraverso-processo-di-fotosintesi- clorofiliana-nelle-piante-verdi
Secondo la formalizzazione classica fin'ora utilizzata (non è molto bella da vedere poiché alla fine come notate ci sono molte parentesi):
verdi(piante(nelle(clorofiliana(fotosintesi(di(processo(attraverso(chimica(energia(in(convertita(solare(luminosa(energia))))))))))))))
Con i sottoinsiemi impropri(⊆ definisce "è proprietà di"):
verdi⊆piante⊆nelle⊆clorofiliana⊆fotosintesi⊆di⊆processo⊆attraverso⊆chimica⊆energia⊆in⊆convertita⊆solare⊆luminosa⊆energia
Con i superinsiemi (in linea con i grafi):
energia⊇luminosa⊇solare⊇convertita⊇in⊇energia⊇chimica⊇attraverso⊇processo⊇di⊇fotosintesi⊇clorofiliana⊇nelle⊇piante⊇verdi
Con i grafi (qui sottoforma di testo semplice, ma è per rendere l'idea):
energia→luminosa→solare→convertita→in→energia→chimica→attraverso→processo→di→fotosintesi→clorofiliana→nelle→piante→verdi
Con i grafi si potrebbe anche fare il contrario e quindi definire l'arco come "è proprietà di", ma attualmente si intende come "ha la proprietà". Quel "è proprietà di" sottintende che nell'essere vi è un momento storico in cui si presenta un uso specifica di una proprietà, dove questo "uso" altro non è che l'esplicitazione stessa nel tempo di una proprietà rispetto ad un aggregato più grande di proprietà. Nella frase "le piante verdi" si dice che l'esistenza "piante" ha la proprietà "verdi", tuttavia si può anche dire che "verdi"è la proprietà di "piante". Il verbo avere dunque si pone come descrizione a ritroso rispetto all'essere e dunque la proprietà si esprime come una descrizione che va dall'aggregato di proprietà alle sue proprietà più piccole, come espressione della sua potenza nell'essere. Quindi non si intende che le cose verdi hanno le proprietà di essere piante, cioè tutte le cose verdi che sono piante, ma tutte le piante che sono verdi. È una distinzione sottile ma che porta alla costruzione esatta del grafo o del sistema di insiemiche si vuole utilizzare.

Qui con i diagrammi di Eulero-Venn, si mostra graficamente la frase "l'energia luminosa solare è convertita in energia chimica". Infatti nell'insieme "energia" potrebbe esserci altrettanto un altro insieme che possa esprimere un'altra teoria.
I limiti degli insiemi riguardano magari una situazione del genere:
A che include B, che include C, che include a sua volta A.
A={B{C{D{A}}}}
Questo è un caso ridondante che offre una serie ripetuta all'infinito di sequenze di inclusione B-C-D-A, questione che potrebbe essere risolta in una maniera molto più semplice; capite che il tutto si sviluppa più che altro o su più dimensioni, o su serie infinite, o su sistemi a puntatori, oppure su grafi, che rimane la soluzione migliore in quanto un puntamento può essere espresso anche in maniera circolare, così che la serie infinita spetti alla vettorialità dell'arco del grafo, o per meglio dire, al pattern costruito attorno dal grafo, rendendo pertanto i grafi molto più versatili degli insiemi.
I grafi sono pertanto implicazioni, dove la stessa implicazione altro non è che un possedimento di proprietà rispetto ad un altro aggregato che noi definiamo esistenza. Il che porta a definire la formalizzazione delle proprietà rispetto all'esistenza: Dato un oggetto o un'entità E, definiamo l'esistenza di E come un insieme di proprietà P1, P2, …, Pn:
E={P1, P2, …, Pn}
Dove Pi rappresenta ciascuna proprietà che caratterizza l'entità E. Questa rappresentazione assume che le proprietà P1, P2, …, Pnsiano elementi distinti che compongono l'entità E, e che l'esistenza di E possa essere compresa attraverso questa collezione di proprietà. Un'esistenza E senza proprietà è un ente come abbiamo già analizzato, nel caso fosse un'esistenza con proprietà che neghino sé stesse, avremmo un essere generale, ma questo non potrebbe essere, in quanto essere è relazione, è dialettica. La necessità di fondere semiotica con la topologia (e la mereologia) ha richiesto, in conclusione, l'utilizzo dei grafi al posto di altri sistemi che invece risultano molto più difficili da comprendere a primo impatto.
Qualunque enunciato può essere trascritto assumendo gli elementi trascritti esistano, utilizzando pertanto un quantificatore esistenziale. Il simbolo ∃ specifica che ci debba essere almeno una x che rispecchia le proprietà espresse di seguito. Specificare solamente ∃ significa dire semplicemente "esiste" e ha come proprietà esplicitabili quelle di essere vero in quanto ogni esistenza si pone in maniera affermativa, quella di avere almeno una proprietà e di includere in maniera non esplicitata tutte le proprietà dell'essere. Scrivere solo ∃, equivale a scrivere ∃{p1, p2, ..., pn}. Il quantificatore universale, indicato col simbolo ∀, esprime di per sé una quantificazione rispetto ad una determinata proprietà, espressa genericamente con la variabile x. Definire a priori una quantità significa esprimere un concetto teorico che si pone ontologicamente a posteriori rispetto alla dialettica e alla quantità, elementi comunque a posteriori rispetto all'essere, che nel caso non sia posto a priori, implica un andamento verso il nichilismo (se un sistema non si fonda sull'essere, allora si fonda sul non essere). Pertanto l'utilizzo del quantificatore universale ritengo debba essere posto in casi scientifici anziché ontologici, essendo una modalità che include la proprietà della quantità, caratterizzando tale logica come non predicativa ma piuttosto come logica modale. Se il quantificatore esistenziale esprime come unica esistenza nell'essere una quantità unica, cioè come uno (esiste x significa che ne esiste almeno uno, non andando a specificare se x abbia delle proprietà relative alla quantità o meno), il quantificatore universale esprime già a priori una possibile quantità maggiore di uno, cosa che si rende imprecisa nel caso proprio di x=1 (o minore). Per qualunque enunciato sarebbe corretto indicare pertanto all'inizio di qualsiasi frase il quantificatore esistenziale, anche se tuttavia, essendo qualsiasi enunciato un'espressione dell'essere e pertanto asserendone l'esistenza, viene considerata x già come essere. Le x tuttavia sono esse stesse delle generalizzazioni che quantificano una proprietà rendendola automaticamente propria di ogni proprietà, cosa che è indimostrabile e che viene ricavata per estensione induttivamente. Per quantità qui si intende una proprietà quantitativa dove x>1. Per la frase "esiste un troll per ogni canale e se il troll può scrivere, allora il canale perde di qualità", troll e canale sono proprietà che possono essere generalizzate ad x e y, ma si possono anche usare solo i termini indicati e basta. Le parti che compongono la frase sono le seguenti:
"esiste" è ∃, seguito dalle proprietà specificate.
"esiste un troll" pertanto diventa:
∃ (un(troll)
"per" collega il verbo esistere ad una causa, cioè "ogni".
"ogni" sottointende una quantità, nonché una ripetizione di tali proprietà in altre esistenze. Non si può dire che una cosa esiste per ogni nel senso di "in funzione di", poiché tutto esiste come possibilità dialettica dell'essere. Quindi mettiamo una congiunzione tra le due dichiarazioni di esistenza. Segue la congiunzione e una condizione, pertanto un'implicazione.
∃{un⊇troll⊇per⊇ogni⊇canale ^ troll⊇può⊇scrivere → canale⊇perde⊇di⊇qualità}
Il quantificatore esistenziale può essere anche omesso, portando alla seguente espressione:
un⊇troll⊇per⊇ogni⊇canale ^ troll⊇può⊇scrivere → canale⊇perde⊇di⊇qualità
preceduta ovviamente dall'inferenza a blocco (ho messo le parentesi per fare comprendere più semioticamente che si tratta di blocchi):
(un-troll-per-ogni-canale) ^ (troll-può-scrivere) → (canale-perde-di-qualità)
Rianalizzando la definizione di proprietà, possiamo dire che è il risultato dialettico di una teoria. E rianalizzando la definizione di teoria, possiamo dire che è un insieme dialettico di relazioni tra proprietà, dove queste relazioni altro non sono che le relazioni logiche date dai connettivi verofunzionali. Le proprietà fondamentali dell'essere si vanno a costituire pertanto come i semata dell'essere. Sulle base di queste poi viene strutturato tutto il resto, rendendo l'ontologia anteriore alla fisica. Si potrebbe pensare che, date p come proprietà e T come teoria, poiché p dipende da T e T è formato da p, allora vi devono essere elementi fondamentali che danno significato alle proprietà stesse. In altre parole, la teoria di una proprietà deve partire da delle proprietà fondamentali. Per dimostrare la correlazione di un significato con un suo concetto, sostenuto da una teoria, si deve ricorrere necessariamente ad una sorta di attribuzione semantica tra i dati dei dataset e le definizioni date. Dunque per ogni termine in fin dei conti si andrebbe a costituire una definizione, come nel caso dei colori, che vanno da una determinata frequenza ad un'altra. Questo porterebbe ad una quantificazione delle proprietà e dovrebbe essere pertanto verificata da un'indagine statistica. Che i software producano ipotesi non è solo possibile, ma è anche una realtà effettiva di tutti i giorni. L'analisi fattoriale e l'analisi delle componenti indipendenti sono proprio questo, cioè delle ipotesi generate automaticamente o meno da un software. Sono ormai secoli che il processo ipotetico è stato automatizzato. La problematica su questo aspetto riguarda l'assenza di una documentazione dettagliata rispetto a questi due tipologie di statistica, ma ciò non impedirà la loro implementazione su TheoryFlow. Non sono assiomi che generano per implicazione teorie già fatte e pronte, ma sono strumenti che possono essere suscettibili ai miti. Lo strumento è solo un mezzo per ottenere dei dati che fanno emergere maggiormente delle teorie affini con ciò che è la realtà. E questo è relativo più che altro alla rotazione degli assi, cosa che dovrebbe portare alla costruzione di ipotesi coerenti con la realtà, soprattutto se parliamo dell'analisi fattoriale confermativa. Questa parte di verificabilità empirica e teorica la rielaboreremo dopo avere terminato la questione delle proprietà e dei grafi. Che la questione delle proprietà dunque si impunti sulla verifica delle teorie formulate con i dataset? Che la formulazione della teoria sia fondamentalmente un ragionamento razionale tra intuizioni, nonché da pensieri provenienti dall'inconscio quando non sono predittive? La genealogia delle ipotesi a partire dai dati dei dataset dovrebbe portare alla risoluzione di questo problema. Seguendo gli studi di Frazier e di Jung potremmo dire che le ipotesi nate dai dati nascono da delle valutazioni psicologiche formulate a partire dal mito. Di conseguenza è il mito che forma così la cognizione della realtà agendo da filtro con dei bias specifici. In parallelo però sappiamo che delle ipotesi, nel campo della matematica e dell'intelligenza artificiale, ed in particolare del machine learning, si tratta unicamente o di costruire delle funzioni matematiche che consentano di predirre dei valori del dataset, o si tratta di costruire dei classificatori o assoluti o fuzzy, così da produrre delle ipotesi a seconda dei casi richiesti: predizione o classificazione. Ci sono anche gli alberi decisionali, ma quelli sono estensioni dei primi due quando non vengono costruiti in modo statico. Tuttavia c'è anche da dire che in fin dei conti è sempre l'utente che formula un'ipotesi nel linguaggio naturale, anche a partire dalle funzioni matematiche o dalle classificazioni. In fin dei conti sono algoritmi, strumenti che in questo caso servono come traccia ulteriore per costruire un'ipotesi più coerente con la realtà. Che un software possa produrre ipotesi è possibile, ma bisognerebbe costruire un algoritmo a posteriori rispetto alle tesi inserite sottoforma di grafi. Alla fine questo è il livello della validazione (sesto livello di TheoryFlow). In principio, partendo da zero, è necessaria la produzione di teorie, di ipotesi, a partire dai miti. Nella crescita poi i miti, che sono teorie della realtà prodotta dall'applicazione dei riti sui simboli, vengono modificati ed evoluti, così che per corrispondenza tra mito e realtà si possano risolvere le incoerenze. Di questo ambito se ne dovrebbero essere occupati autori come De Santillana che ha proprio studiato l'origine mitica della scienza. Lascio aperto questo punto per possibili analisi e risvolti futuri sull'implementazione di una possibile validazione psicologica per quanto riguarda le teorie.
Dall'analisi delle proprietà possiamo derivare i seguenti enunciati:
- Una proprietà per definizione dovrebbe essere più proprietà, dove la sua definizione minima è quella di essere o non essere una proprietà. Tutti i casi assurdi sono semplicemente casi in cui lo stato ontologico trova riscontro in questo mondo, poiché le relazioni fisiche non lo consentono. E se lo consentono lo consentono solamente in alcune modalità, come per esempio il pensiero. E questa è una proprietà o un grafo di proprietà che può essere derivato (teoria).
- Dire che x non ha proprietà è diverso dal dire che una proprietà non ha l'individuo x. Questo perché effettivamente una proprietà senza x è semplicemente un concetto universale della quale non viene presentato alcun caso. Per esempio, è possibile dire una teoria rispetto al non essere, ma è possibile non essere specifici e rimanere sulla semantica, sulla sua etimologia, etc. In altre parole, si sta parlando di un concetto al di là della sua temporalità circoscritta dal caso specifico.
- È un pensiero induttivo considerare a priori che qualsiasi proprietà abbia x. Ed x stessa è una proprietà della proprietà-parola in linguaggio naturale.
- x è già una generalizzazione dei casi circoscritti dalla selezione stessa delle proprietà, ed è una tautologia, poiché si definisce: seleziona x dove x è un caso rispetto all'insieme X. E se si definisce X come l'insieme dei casi x, allora ne va da sé che si selezionerà sicuramente una x. E questa "una" sarà una proprietà definita di X e di x. La quantità è una proprietà.
- Se volessimo essere specifici per ciascun caso dovremmo calcolare un hash identificativo, così da poterli distinguere e non considerare ciascuna inferenza come isolata. Inoltre esistono anche le collisioni e le loro unicità andrebbero al massimo calcolate in modo unidirezionale dalle proprietà connesse a determinate proprietà, operando in modo ambiguo sulle connessioni parallele. E questo per cosa? Per avere definizioni di individui di casi specifici contrassegnati da una generica x isolata da tutto il resto del contesto.
Pertanto, in sintesi, ritengo che la soluzione migliore sia di ridurre il tutto alle proprietà stesse e che possano essere correlate dai superinsiemi, nonché dalle implicazioni logiche, e dai connettivi verofunzionali. Il motivo per cui nella formalizzazione non ho usato l'implicazione al posto del superinsieme è che ci tengo a distinguere le due operazioni al fine di mantenere una correlazione semantica comprensibile anche in assenza della proposizione in linguaggio naturale.
Un caso particolare della teoria dei grafi applicata alla logica ontologica predicativa è il seguente:
Dati:
a + k = c
b + k = d
dove k dovrebbe essere una costante, ossia una proprietà uguale per entrambi i casi; a, b, c e d sono 4 sottoproposizioni correlate da quelle teorie logiche di somma (OR). A seguire questo teorema si potrebbe costituire pertanto che a+k=d e b+k=c, cosa che non è vera ma falsa. Gli archi nel sistema dei grafi sono delle implicazioni, ovvero dei superinsiemi.
Perciò:
a → k = c
b → k = d
dove k sarebbe appunto la medesima proprietà, cambiando pertanto a, b, c e d. Se k è uguale, come si distinguerebbero le due inferenze facendo in modo che a implicato k non dia d e b implicato k non dia c? Una soluzione sarebbe fornire delle espressioni dove si negherebbero quelle soluzioni:
a → k = c
b → k = d
a → k != d
b → k != c
Le relazioni di implicazione tra a, b con k è possibile, ma deve essere specificato che non siano, in ordine, d e c, ma c e d. Dunque gli archi dei grafi dovrebbero da una parte esprimere la possibilità e dall'altra l'impossibilità dell'essere. Il cane è blu è blu(cane) ma è falsa poiché nell'essere non c'è nemmeno un cane (a meno che lo si presenti) che sia blu. Quindi blu!(cane). La negazione si potrebbe pertanto trattare come un arco specifico, o come una proprietà che porta alla negazione della proprietà negata.

O si differenzia k, contraddicendone però l'universalità, o si considera ak e bk, oppure si tiene da conto dei puntatori e si descrivono le formule con essi, però così facendo i grafi risultano non più adatti, alla stregua degli insiemi.
Quindi:
k = j, q (puntatori che puntano a k)
a + j = c
a + q = d
E qui si renderebbe necessaria la definizione di puntatori, corrispondenti in fin dei conti ancora con ak e bk.

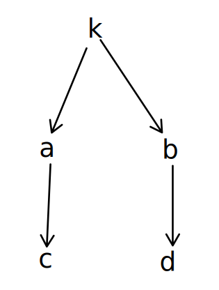
Per fare un esempio più concreto di questo problema:
a. Se il ferro è rosso, allora è caldo.
b. Se il led è rosso allora è freddo.
Tali proposizioni usando entrambe la proprietà del rosso, quindi dovrebbe essere una proprietà condivisa, ma come notiamo il rosso si presente come sottoinsieme di due proprietà, il ferro e il led. Dunque, quantificare le proprietà è necessario o si può trovare un sistema che possa rendere le quantità una proprietà, facendo in modo che vengano mantenute le proprietà come universali? Da quello che abbiamo compreso in ontologia fino ad ora, le proprietà non vanno quantificate. Pertanto la prima immagine sarebbe corretta, mentre la seconda no. Nella prima immagine però, appunto, si perde la correlazione tra a e c e tra b e d. Visivamente non è possibile riconoscere gli errori e quindi se a possa portare a d e b a c. Ad esclusione non si può fare altro che portare in cima le proprietà comuni, in questo caso k, così che le altre vengano derivate: da k si passa ad a e poi a c, da k parallelamente si passa a b e poi a d.

Ha anche senso graficamente e porta a sviluppare proprio una gerarchia ontologica delle teorie, che definisce come quelle che si ripetono di più stiano più in alto e come quelle specifiche, avendo meno nodi derivanti, stiano più in basso. Più una proprietà è comune, più è generale.
Se il rosso è una proprietà di ferro, allora caldo è una proprietà di ferro, non permette di concludere che rosso è una proprietà di caldo.
Dovrebbe essere pertanto che se rosso è una proprietà di ferro, allora ferro è una proprietà di caldo. Così si può concludere per concatenazione che rosso è una proprietà di caldo.

Teoria che potrebbe essere anche così argomentata:

Tenendo da conto della struttura dei superinsiemi la struttura andrebbe ribaltata, così che il nodo precedente sia il superinsieme che comprende il nodo successivo e non il contrario:

Considerando che la struttura della frase è "se a è k, allora è c", si formalizzerebbe come segue: (a→k)→c Se io dico che il ferro è caldo dico sì un'informazione sul ferro, ma questo perché il caldo viene specificato come proprietà di ferro. Dunque la potenza espressa è quella dell'essere che si esprime come ferro, ed in particolare com eferro caldo dato che può essere anche ferro freddo. Quindi sì, dico che tutte le cose che sono ferro sono anche calde. Però la frase asserisce che il ferro è caldo, non che c'è qualcosa di caldo che è ferro. Anche perché ammettendo che ferro sia sottoinsieme di caldo noi intendiamo che ferro sia una proprietà di caldo e che pertanto il caldo si esprima anche come la capacità di essere ferro. E questo è un errore. Come asserivo prima, non è possibile che il caldo possa essere ferroso, ma è possibile che il ferro possa essere caloroso. La matematica è un sottoinsieme dei punti trattati, poiché ciò che esprime viene caratterizzato come matematico, non puoi derivare gli elementi da un insieme che è di per sé vuoto. Allo stesso modo, il pipistrello ha la proprietà di essere un mammifero, non c'è un mammifero che ha la proprietà di essere pipistrello, poiché si misurano le proprietà di esistenze, non le esistenze stesse, pertanto si può misurare quanto una specie può essere mammifera, non quanto un mammifero può essere specie, come un pipistrello, a meno che si scindano altrettanto le proprietà, tornando allo stesso punto concettuale di prima. Dire che il cavallo ha gli zoccoli significa dire che il cavallo ha la proprietà di avere e che questo avere ha la proprietà degli zoccoli, cioè l'avere applica sul cavallo la proprietà di essere composto anche da zoccoli:
cavallo⊇ha⊇zoccoli
"zoccoli" è un sottoinsieme di "ha", che è sottoinsieme di "cavallo". Dunque qualsiasi disciplina non si pone a priori come descrizione della realtà, ma si pone come proprietà di più esistenze (che sono anch'esse proprietà, ma almeno risulta più comprensibile cosa voglio dire), corrispondente ad una sorta di topic, di tematica, di più argomenti. Gli argomenti di un discorso possono infatti corrispondere a più discipline e questi li si possono misurare in base alle proprietà relazionate ai singoli termini. Nelle neuroscienze per esempio si può parlare di neuroni, quindi di biologia, di quantità e quindi di matematica e lo si esprime con l'italiano, quindi linguistica. Allo stesso modo, non è la matematica che fa il logaritmo, ma è il logaritmo che fa la matematica. E questo si traduce in: sono gli elementi a fare gli aggregati, non sono gli aggregati a fare gli elementi.
Dire "se il ferro è rosso allora è caldo" non assume che "se il ferro è caldo allora è rosso", poiché questa, essendo un'inferenza inderivabile se non da un'analisi rispetto al ferro, rimane:
ferro → rosso → caldo
e non
ferro → caldo → rosso
Dunque una situazione come quella presentata qui di seguito rimane definita solamente da una teoria aggiuntiva che correla sia il caldo col rosso, che il rosso col caldo, dove ovvero la narrativa rimane gerarchicamente significativa rispetto al senso logico della frase.

Se a è k, allora c. il grafo si va così a costituire:
- a ha k e c come implicazioni.
- c e k hanno invece una doppia implicazione tra di essi.
- c e k non implicano a.
Quindi:
c⇔k
a→c
a→k
Scambiare i termini c e k tra di loro arrivando alla conclusione che se veri vi sia una doppia implicazione è un ragionamento induttivo, poiché non verificato, pertanto si presenta come una fallacia logica. La forma corretta, a deduzione logica, dovrebbe essere a→c→k e non a→k→c, poiché non c'è alcuna descrizione rispetto a ciò, anche se si potrebbe fare un'ipotesi da verificare, ed in caso di verità, ottenere una sintesi come quella nell'immagine. Con i superinsiemi potremmo dire che a⊇c⊇k, cioè che a è il superinsieme di c e di k e che c è il superinsieme di k. Da ciò dovremmo derivare, con l'esempio "se il ferro è rosso allora è caldo" che ferro→rosso→caldo, contrassegnando l'operazione come V (vera). Il ferro ha la possibilità di disporre della proprietà di essere rosso, ed il rosso ha la possibilità di disporre della proprietà di potere essere caldo. La connessione tra caldo e rosso è una relazione simbolica e non effettiva, poiché di questo effettivamente si occupa il sé rispetto al mondo: di costituire una rete di simboli così che siano il più possibilmente coerenti alla realtà. La rete semantica dei significati si va pertanto a costituire in una forma quasi poetica della realtà, una forma quasi surreale, come se la teoria del mondo non fosse altro che un esprimersi di possibilità dell'inconscio, che liberato dai vincoli dell'oggettualità quotidiana, si ponesse al di là del vincolo più grande della cognizione umana: il mito. Un vincolo necessario per arrivare fino a questo punto, al punto in cui le sue componenti, il rito ed il simbolo, si rendono necessarie persino in questo contesto, il contesto della scienza e della filosofia. Questo significa che uno debba inventarsi le cose? Sì e no, nel senso che la fantasia è solo permutazione tra simboli per esprimere una teoria del mondo, ma che questa teoria comunque prima o poi viene testata e validata, nonché messa a confronto con le relazioni che ne permettono la sussistenza come teoria vera, falsificandola.
I COLORI SONO UNIVERSALI?
E ritornando alla questione di raccolta del k, nonché del rosso, arriviamo qui ad una sintesi della faccenda: in qualunque modo si correlino le frasi, si dovrà per forza raccogliere il rosso e questa cosa farà perdere la nozione tra caldo/freddo e rosso, così da generare un'incoerenza. Un led che segnala il rosso quando è freddo è un led che utilizza una teoria dei colori che non rispecchia quella assunta di default, cioè che il rosso sia correlato alle alte temperature. E se ci pensiamo è proprio così, i colori in questo caso rispecchiano delle nostre credenze. Le stelle per esempio, quelle più calde, avranno colori più tendenti all'azzurro o al bianco, mentre quelle più fredde saranno tendenti al rosso o all'arancione. Pertanto associare il ferro ad un colore piuttosto che ad un altro a seconda della sua temperatura, implicherà una teoria per cui vigerebbe un'incoerenza di fondo che disaccomuna le due teorie del mondo. Come può esserci qualcosa di caldo che sia rosso? O allo stesso modo, come può esserci qualcosa di caldo che non sia rosso? Ci deve essere sicuramente una teoria che descrive la relazione tra colore e calore. Potrebbe essere una caratteristica derivata dal tipo di materiale impiegato, ma ciò attribuirebbe una certa soggettività al colore? Ovviamente no, poiché il colore non dipende dalla temperatura o da una qualche essenza dell'esistenza in sé, ma dalla composizione atomica del materiale stesso e dunque dal modo in cui assorbe o meno la luce. E questo meccanismo può essere argomentato meglio in fisica dalla teoria della radiazione del corpo nero. Ontologicamente vediamo pertanto svilupparsi un colore che varia ancora soggettivamente, nonostante disponiamo di due esistenze oggettive, il calore e la composizione molecolare. Cosa implica ancora che se ne derivi una sorta di soggettività che chiude l'esistenza ad una sorta di "sostanza" relativa ad una relazione fisica? Come è possibile che il rosso del ferro non sia il rosso della stella? La spiegazione è semplice: il ferro può diventare blu raggiunte delle elevate temperature. Sostituendo il ferro con la plastica però l'effetto è che non sarebbe possibile derivare il blu da essa e nemmeno il rosso, poiché in realtà otterremmo solo del nero o colori affini. La legge di Planck ci descrive come una determinata radiazione si ottenga a seconda della configurazione elettronica di un materiale e quindi a seconda delle proprietà degli elettroni presenti in un materiale nel momento in cui ricevono una radiazione elettromagnetica con un'intensità tale che correla la quantità con l'attuazione di un determinato meccanismo, come l'emissione di radiazione elettromagnetica in un determinato spettro. Ma tale legge ci descrive come un corpo qualsiasi disponga di questo meccanismo e per questo è corretto che il ferro se caldo possa anche non essere rosso. L'errore si dimostra qui essere, in conclusione, ciò che ho voluto celare al lettore, ossia che un corpo di plastica può diventare blu oltre delle elevate temperature, come qualsiasi corpo d'altronde, anche se probabilmente perderebbe i legami molecolari prima di emettere la radiazione in un determinato spettro di luce. Per le teorie ristrette, quelle che riguardano una legenda rispetto ad una luce segnalatrice come nel caso del led, invece, si esprime come possibilità e imponendo una legenda si impone una "chiave di lettura", nonché una possibile interpretazione di tale colore attribuendogli un significato che può essere più o meno coerente. Al led rosso noi infatti possiamo attribuirgli un qualsiasi significato, oppure possiamo attribuirgli diversi significati a seconda dell'attività che viene svolta. L'essere esprime la possibilità rispetto alle esistenze e non esprime delle teorie rispetto a dei giochi di ruolo che tentano di ripiegarlo su una tematica specifica: un'ontologia del genere è chiusa, è oligodisciplinare e punta inevitabilmente al nichilismo, in quanto inconsistente. Le proprietà sono soprattutto reti subsimboliche ontologiche e sono necessarie per lo sviluppo della teoria della realtà. Pertanto l'essere si esprime come relazione di simboli che non sempre trovano un riscontro in fisica. Il linguaggio non è empirico e si esprime per mezzo delle possibilità aggregative dell'essere, cosa che ha permesso lo svilupparsi delle tecnologie, nonostante fossero ancora questioni disgregate nella natura. Non prevale pertanto l'empirismo nell'essere poiché ciò che è empirico è solo ciò che è esplicitato, e ciò che è già esplicitato serve unicamente come partecipazione passiva rispetto all'essere: chi non coglie l'implicito nell'essere è uno stolto ed è una figura che si pone anteticamente rispetto allo stregone, che invece fa l'esatto contrario, ossia considerare solamente l'implicito nell'essere, andando a togliere l'esplicito, che è quello che si manifesta come realtà epistemica. Il problema rimarrebbe il caratterizzare che cos'è questo implicito. In termodinamica è lo spazio delle fasi, in meccanica quantistica lo spazio di Hillbert, in ogni caso si ha che c'è un piano anteriore a quello fisico e il formalismo della meccanica quantistica dal punto di vista ontologico è abbastanza preoccupante, perché descrive gli stati quantistici tramite i numeri immaginari. Quindi occorre trovare un piano della realtà anteriore alla fisica. È la fisica stessa che lo richiede. Si cerca di descrivere delle quantità per assumere delle possibilità ontologiche ed interattive tra le energie disposte dalla termodinamica. E ritengo che in fin dei conti a dare origine alle particelle-onde sia sempre lo spaziotempo e la sua continua fluttuazione quantistica. Noi sappiamo che qualsiasi corpo emette calore e che non si può scendere ad uno zero assoluto per quanto riguarda la radiazione elettromagnetica. Dunque lo spaziotempo è permeato da fotoni e questi sono implicati nella relazione elementare dello spaziotempo, che è quella in realtà che viene descritta con la teoria dei campi in relazione agli spazi di Hillbert. Pertanto mi chiedo: assumendo che il tempo sia dato praticamente dai fotoni con il resto dello spazio, non è che lo spazio stesso può essere studiato come fluttuazione di probabilità che poi si vanno ad esprimere quantisticamente sottoforma di onde e di particelle? Questo a livello quantistico ovviamente, poi il tutto dovrebbe essere esplicitato in una relazione che va dal quantistico al classico, dalle particelle elementari al tost che cade con la faccia imburrata sul pavimento, per intenderci. Formalmente chiedo perciò: non è che lo spazio è la potenza di quanto si può esprimere con la possibilità? Comprimendo: lo spazio è potenza e ciò che lo rende epistemico è il tempo, cioè una relazione tra la sua fluttuazione con i fotoni (a loro volta fluttuazione)?

In questa mappa possiamo osservare l'evoluzione dell'ontologia della fisica, ed in particolare come nell'ultimo passaggio ci sia l'identificazione dello spaziotempo fisico con un unico campo, cioè dove i corpi sono ridotti ai campi quantistici dello spaziotempo. La teoria GRW (Ghirardi-Rimini-Weber), alternativa all'interpretazione di Copenaghen, nella riformulazione di Ghirardi, viene inteso lo spaziotempo come un unico campo sottoposto alla fluttuazione quantistica guidata dalla funzione d'onda. Però comunque rimane una teoria probabilistica, quando l'universo non è intrinsecamente stocastico (questione dimostrabile dalla bassa entropia delle condizioni iniziali). L'entropia riguarda però la maggiore fluttuazione delle particelle con costante riduzione a particelle più elementari, ed in particolare i fotoni. Tutto in fin dei conti prima o poi viene ridotto ad energia elettromagnetica. E questa decade e si raccoglie in spaziotempo, oscillando pertanto tra questo stato quantistico di esserci e non esserci spaziotemporalmente come energia. La natura dell'energia è proprio quella della compressione dello spaziotempo ad una determinata frequenza. E lo stocasticismo dello spazio dipende più che altro da una causalità quantistica tra i decadimenti. Noi sappiamo che da una certa quantità di quanti otterremo, per decadimento, altri quanti e quasi sempre dei fotoni. Ciò rende la questione deterministica. L'entropia risulta pertanto essere data da uno spazio che si muove in tutte le direzioni come onda soggetta a moltissime interferenze, dalle particelle stesse presenti e dalla capacità dello spazio di estendersi presso sé stesso generando altro spazio dal momento che non presenta una massa sufficiente per le particelle condensate di spaziotempo. Quindi l'esplicito essendo potenza espressa dello spazio nello spazio si può esprimere solo come decadimento termodinamico. L'implicito è ciò che deve ancora decadere o che mai decadrà. Ci sarebbe magari una differenziazione ulteriore che riguarderebbe ciò che deve ancora decadere da ciò che ha uno statuto ontologico termodinamicamente irrealizzabile, come le realtà parallele. E questo si allineerebbe al possibilismo formulato da Carlo Rovelli, che è anche quello più sensato, poiché includendo la teoria delle realtà alternative, ne esplicita la loro irrealità epistemica, andando a definire come la possibilità altro non sia che un risultato quantistico, ciò che io chiamo risultato di decadimento.
L'IMPLICITO
L'implicito è solo la descrizione degli stati possibili del sistema. In entrambi i tipi di meccanica, sia classica che quantistica, c'è il problema di descrivere in modo realistico che cos'è l'implicito ed ogni tentativo è fallito. Non possiamo banalmente definirlo come "informazione". L'implicito risulta essere una necessità delle due teorie in questione per fare delle previsioni, è solo un modo di rappresentare delle proprietà su uno spazio geometrico. Il problema è che senza l'implicito non si può fare descrizioni in queste teorie. Quindi se l'implicito ci serve, questo deve essere stabilito ontologicamente, e la parte ontologica della meccanica quantistica è molto confusionaria perché esistono diverse ontologie diverse dove ognuna contraddice l'altra, e una versione della teoria dice che lo spazio di Hillbert è l'informazione implicita nel sistema, altri che sono propensioni quindi mischiando l'aristotelismo con la meccanica quantistica, altri ancora invece dicono che è solo una finzione matematica che serve per fare i calcoli e che non ha alcuna realtà. Quest'ultima posizione però porta a doversi impegnare nella difesa dello strumentalismo cosa che porta, come abbiamo già analizzato negli articoli, al nichilismo. Ciò richiederebbe pertanto un'ontologia che richieda o meno lo spazio di Hillbert, così che si possa argomentare che cosa sia questo implicito. L'implicito potrebbe benissimo essere potenza, dove questa viene espressa temporalmente per interazione elettromagnetica. Potenza nel senso che l'interazione di un campo va a costituire una particella, quindi l'oscillazione dello spaziotempo in tutte le direzioni comporta la sua formazione e la sua estensione, così che si possa comportare sia come onda che come particella, a seconda anche dell'interferenza con le altre. Ad esempio, io ritengo che gli elettroni esistano perché i protoni e i neutroni hanno una massa tale (sono agglomerati di spaziotempo condensato tali) che presso le loro orbite si generino e si dissolvano di continuo delle particelle dotate di temporalità che noi chiamiamo elettroni, ma che in fin dei conti sono fotoni condensati, a loro volta costituiti da spazio fluttuante. I nucleoni hanno temporalità perché comunque i quark insieme ai gluoni, hanno una qualche interazione con i fotoni, i quali dotano di temporalità lo spazio, provocandone lo stato di oscillazione. La potenza dunque altro non è che l'oscillazione, dove l'implicito è ciò che avviene prima del picco dell'onda della fluttuazione dello spaziotempo. Esprimendola sinusoidalmente lo spaziotempo potrebbe essere espresso come segue: il picco è la condensazione spaziotemporale, la quale si realizza come picco di energia. Al contrario, il picco negativo è l'estensione spaziotemporale, nonché il punto dove lo spaziotempo cede energia allo spaziotempo esterno al centro del picco. Pertanto le particelle non è che ci sono e non ci sono. Le particelle qui ci sono sempre, ma è come dire che un tessuto dinamico faccia e disfi in continuazione dei nodi, che qui sono tridimensionali. Se da una prospettiva la particella si comporta come un'onda sinusoidale, dall'altra l'onda si comporterebbe come un cerchio che prima si allarga e poi si restringe, formando la particella, il quanto. Tuttavia in meccanica quantistica l'implicito è nello spazio di Hillbert che non è spaziotempo e non può esserlo, perché esso è uno spazio vettoriale dove i vettori sono formalizzati coi numeri complessi. Quindi se si identificasse l'implicito con lo spazio tempo che oscilla, e quindi in poche parole con l'energia del vuoto, quale sarebbe l'impiego dello spazio di Hillbert? Identificare l'implicito con lo spaziotempo estromette lo spazio di Hillbert, ed estromettere lo spazio di Hillbert, necessario ad ogni teoria quantistica, significa assumere una concezione strumentalista, e lo strumentalismo è nichilismo. Se lo spaziotempo non è strumentalista poiché asserisce i suoi prodotti per le sue interazioni differenziate, come può comprendere lo spazio di Hillbert? Nella teoria che io ho esposto lo spaziotempo basta a sé stesso e lo argomenta come campo unico dove potersi presentare. Quindi i quanti potrebbero essere argomentati come interazione tra lo spazio e lo spazio stesso. Ma ciò che viene attualmente esposto è il contrario: è lo spaziotempo che dovrebbe essere compreso nello spazio d Hillbert. E qui si presenta il problema principale: nell'argomentazione manca proprio un gradino argomentativo che è quello dello spaziotempo stesso. Ed il problema potrebbe essere inteso come segue: lo spazio di Hillbert non è nell'insieme dei numeri reali, ma di quello dei numeri complessi, e si suppone comunemente che questi numeri non sono nella realtà fisica. I numeri reali sono nella realtà fisica? Non sono degli indicali che esprimono la misura della frequenza di determinate esistenze dotate di proprietà? Se sì, i numeri complessi potrebbero essere solamente calcolo potenziale. Dunque ciò che esprime l'insieme dei numeri complessi non è tanto quello del risultato, ma del mezzo con la quale si arriva a quel numero che di per sé è incalcolabile ma che serve di fatto per fare funzionare delle teorie. Ed infatti la matematica non è tanto risultato ma operazione. Considerando x²=-1 di esempio, consideriamo che non esiste alcuna x che soddisfi il risultato, il che rende x appartenente a C, ed in particolare ad i. Non può essere tale perché non esiste alcuna quantità che moltiplicata per sé stessa dia un risultato negativo. Dunque il conflitto sussiste tra la negatività del risultato atteso e la positività data dal quadrato. C'è una violazione di regola che dovrebbe risultare falsa ma che risulta vera solo se si considera che x è un numero indefinito che dia un risultato vero. Nel primo caso si considera apofantico il risultato, nel secondo lo si considera vero. Con x²=y abbiamo che se y=V allora x=i, corrispondente ad N, se x=V allora y=N, dove N riguarda lo statuto ontologico rispetto ad y.
Formalizzando:
N²⇔V
V²⇔F
Sapendo che il 2 è il numero di volte per la quale deve essere moltiplicata un certo valore e sapendo che la moltiplicazione è corrispondente all'AND, però possiamo derivare che:
N² = N AND N = F
V² = V AND V = V
Correlando la formalizzazione di prima abbiamo che:
F⇔V = F
V⇔F = F
In entrambi i casi abbiamo casistiche false, poiché esso non rientra nell'insieme dei numeri reali. I numeri complessi e quelli immaginari esistono, anche se non sono nell'insieme R si possono tranquillamente costruire, non sono una finzione e pertanto non hanno lo statuto ontologico delle esistenze impossibili come il quadrato rotondo. Si ottengono per un operazione dove si considera il risultato y come vero, se si considerasse falso si direbbe che è un'operazione impossibile. √-9=y è i, ma può esserlo solo in potenza dell'operazione espressa, non è realmente un numero che esprime una determinata quantità. Il risultato non è apofantico. Anche perché altrimenti dove esisterebbero? Sono utilizzati in alcune formule fisiche, come ad esempio quella applicata in elettrotecnica, dove si usa j come unità immaginaria (√-1), corrispondente praticamente ad i, che viene usata invece per indicare la corrente elettrica. j viene applicato ad un vettore che lo fa ruotare di 90° rispetto alla fase, corrispondente in pratica ad una corrente in anticipo in una corrente alternata e quindi sinusoidale. Quindi i verrebbe utilizzato in fisica solamente per descrivere dei regimi sinusoidali o vettoriali, dove l'unità immaginaria riguarderebbe solo uno sfasamento o qualcosa del genere, cioè una rotazione dei vettori, un ritardo. Dove i vettori altro non sono che l'intensità delle particelle in uno spazio tridimensionale. I numeri reali però vengono identificati con degli insiemi, ed una cosa simile si fa anche per quelli immaginari. Alla fine non vi è nessuna distinzione ontologica tra numeri reali e immaginari. I numeri complessi sono composti da una parte immaginaria più da una parte reale, dove quella immaginaria o è indefinita, o è fatta da radici quadrate di numeri negativi. Quella immaginaria è i moltiplicato per un numero reale, dove i è quel numero che elevato al quadrato è - 1 e non c'è alcuna i che elevata al quadrato dia un numero negativo poiché un prodotto per definizione è positivo e questo lo si stabilisce per definizione. Quindi non è detto che il prodotto di un numero sia sempre positivo, perché i è stato stipulato per essere negativo. Un numero se moltiplicato per sé stesso quindi dovrebbe dare un numero negativo:
x²=x*x=-y
Quindi:
- o x deve essere uguale e allo stesso tempo di segno opposto a sé stesso.
- o meno per meno non fa più, dovendo rivoluzionare praticamente la matematica perché si è assunto che debba avere una logica booleana.
Io sostengo più che sia la seconda opzione. Nel primo caso tuttavia si potrebbe indicare col segno ±.
Col primo caso ±x:
- +x²=-y sarebbe x = ±√-y
- -x²=-y sarebbe x = ±√+y
Quindi il sistema si risolve con nessuna soluzione reale a disposizione e con 4 soluzioni complesse:
- √y
- √-y
- -√y
- -√-y
Analogamente, costruendo una funzione analoga ma ribaltata, si potrebbe formalizzare anche solo come y=x² e y=-x², il cui sistema si risolve con un'unica soluzione: x=0. In questa ipotesi il numero immaginario ha la proprietà di essere contemporaneamente positivo e negativo, pertanto ho posto un sistema dove si può risolvere la x prima positiva e poi negativa (anche se prima ho posto l'interrogativo sulla y anziché sulla x). Il secondo caso sarebbe che per ogni i si ha un prodotto che esce negativo:
i²=i*i=-y
dove il prodotto negativo si ottiene da un'operazione di segno che noi non possiamo sapere. Quindi la mia ipotesi è che meno per meno non faccia più in alcuni casi ma faccia un valore analogo al non apofantico. Però ciò non so quanto potrebbe avere senso, ho asserito ciò solamente perché è l'unica altra via che per il momento è possibile percorrere.
Cosa si traduce questo in termini fisici? Non ne ho la più pallida idea: lascerò un possibile ed interessante dibattito su ciò che un giorno sarà TheoryFlow, oppure molto più probabilmente farò prima a scrivere un articolo su questo argomento, così da potere risolvere anche il problema dell'implicito una volta per tutte. Ciò che diamo per assodato qui è che i grafi esprimano possibilità per mezzo di reti subsimboliche che teorizzano la realtà a partire da considerazioni native da parte del linguaggio, che è stato strutturato storicamente nell'essere come linguaggio svincolato e che questo abbia parti implicite ed esplicite, dove l'esplicito è ciò che possiamo interloquire, mentre l'implicito è ciò che ancora non è stato espresso nella narrativa dell'essere o che comunque è stato espresso e che per un motivo o per l'altro, non è più ontologicamente esplicito.
LE COMPONENTI DEL LINGUAGGIO NATURALE
Nella grammatica sono state riconosciute in totale 9 tipologie terminologiche per quanto riguarda le singole parole. Questa è ovviamente una teoria che estende delle proprietà automaticamente alla tipologia della parola utilizzata in una frase.
Le nove tipologie riconosciute sono:
- Articoli.
- Nomi.
- Verbi.
- Aggettivi.
- Pronomi.
- Avverbi.
- Congiunzioni.
- Preposizioni.
- Interiezioni.
Questa tipologia nella linguistica strutturale si è evoluta, a partire da Ferdinand de Saussure, in sintagmi, ovvero la combinazione di due o più elementi linguistici ordinati in una catena fonica. I sintagmi si differenziano in due tipi: testa e modificatori. La testa è quella parte di una proposizione che mantiene il senso in assenza di modificatori, come ad esempio "il cane" nella frase "il cane mangia la carne", dove "mangia la carne è il modificatore". A loro volta la testa e i modificatori possono essere suddivisi in sintagmi verbali e sintagmi nominali, i quali possono presentarsi anche in maniera individuale. Nel senso che nella frase precedente per esempio avevamo che la testa corrisponde ad un sintagma nominale "il cane", mentre "mangia la carne", il modificatore, corrisponde ad un sintagma verbale.
Ulteriormente si possono riconoscere, differenziando i due sintagmi, ulteriori sintagmi così correlati alle nove tipologie già conosciute, correlabili ulteriormente tra l'altro alle tipologie usate dalle tecnologie NLP (natural language processing), un insieme di algoritmi linguistici che consente di elaborare un'analisi sintagmatica delle proposizioni. Di seguito riporto la tabella che correla i sintagmi con le relative sigle, con le abbreviazioni della scuola americana del XX secolo, con l'elemento grammaticale della lingua italiana e le sigle NPL:

Il sostantivo esprime sempre un aggregato di prorprietà. Il verbo esprime una condizione di temporalità rispetto ad un atto, rendendola azione, cioè descrive un processo logico tra le proprietà. Le preposizioni sono termini che vengono utilizzati per indicare le relazioni specificative rispetto alla prima asserzione fatta. E tali specificazioni possono riguardare la posizione, la direzione spaziale, la temporalità, l'origine, il mezzo con la quale si compie un'azione, oppure uno scopo. Gli aggettivi esprimono delle proprietà aggiuntive a degli aggregati mereologici di proprietà. Le congiunzioni subordinative sono delle terminologie che aggiungono complessità alla frase, dove ogni singolo argomento esplicita una questione logica. I verbi ausiliari definiscono le relazioni tra le proprietà: il verbo essere come verbo ausiliario esprime una relazione di superinsieme tra due proprietà, mentre il verbo avere una relazione di sottoinsieme (A←B, cioè B→A). Gli articoli, come già detto, descrivono o un universale, o un particolare espresso come quantità. I pronomi possessivi, dimostrativi e indefiniti sono proprietà spaziotemporali che circoscrivono un concetto espresso dal senso stesso delle parole utilizzate. Gli avverbi alla stregua degli aggettivi, definiscono delle proprietà aggiuntive rispetto agli aggregati mereologici di proprietà. Le congiunzioni esprimono una logica proposizionale alle proprietà. I pronomi sono proprietà. Le interiezioni riguardano la narrativa delle proposizioni e aggiunge delle informazioni psicologiche sull'espositore della teoria.
Il significato delle proprietà stesse è riservato ad un'indagine teorica e non metateorica come nel caso della formalizzazione logica. Pertanto la questione sarà sicuramente approfondita in un altro momento, magari in un caso specifico relativo allo sviluppo software. Per intanto si rende necessario solamente conoscere le componenti grammaticali delle proposizioni esposte.
TEMPORALITÀ E LOGICA
Ora che abbiamo fatto ordine con le proprietà e la teoria dei grafi applicata alla logica ontologica (predicativa e proposizionale), possiamo andare a porci una domanda che tanto è facile quanto è difficile rispondervi: la logica è temporale o il tempo è logico? Viene ontologicamente prima la logica o il tempo?
Io penso che il tempo, la temporalità, sia una proprietà della logica, essendo quest'ultima la differenziazione atemporale dell'essere. Se si ponesse il tempo a priori rispetto alla logica dovremmo dire che c'è stato un passato in cui la logica presentava uno stato contraddittorio, ma questo non è possibile, poiché andrebbe a contraddire principi come quello dialettico o di non contraddizione. E l'assurdo nell'essere sussiste unicamente con la presenza della negazione. Pertanto penso che la questione ontologica, sia gerarchicamente strutturata come segue: Essere, negazione, logica/dialettica, tempo, proprietà, ed infine la teoria stessa.
Anche in fisica, la definizione di temporalità senza potere definire utilizzare la dialettica e dunque la logica, è un'operazione impossibile. Di fatto si può contraddire la temporalità solamente contraddicendo la logica, ed è possibile farlo solamente contraddicendo la negazione, la quale si può contraddire per assurdo contraddicendo l'essere. La multidimensionalità può essere argomentata infatti solo contraddicendo la dialettica tra le dimensioni spaziotemporali, dove il tempo è il fondamento però dello spazio.
Ricordiamoci tuttavia che quando intendo il tempo intendo in realtà i tempi, poiché come già sappiamo dalla teoria della relatività generale, qualunque esistenza spaziale è dotata di una temporalità relativa.
Ora, esiste temporalità senza proprietà dove l'essere è solo relazione e negazione di esse? Io penso di sì, poiché alla fine questa temporalità si esprime negli archetipi ontologici. Che cosa viene gestito? L'essere stesso e la sua negazione. Solo con questi elementi si può già infatti derivare per esempio il principio di non contraddizione. Gli archetipi ontologici e la temporalità dunque non hanno proprietà? Le hanno, ma solo perché noi possiamo esplorarle in un contesto già evoluto, dove sono presenti tutti gli elementi tali che ci consentono di elaborarle. Non c'è di fatto alcuna negazione che ci dovrebbe impedire di non pensarle. Se ci fosse tale impedimento si costituirebbe una struttura centralizzata e ci sarebbero solo relazioni ontologiche a senso unico. Invece noi possiamo giungere all'essere anche dalle proprietà o dalla logica, o persino dalla negazione. Pertanto la logica è anteriore al tempo. La temporalità è una proprietà, ed in particolare è la durata associata ad un evento. Quindi non può esistere temporalità senza proprietà. Al contrario, lo spaziotempo, secondo la relatività generale è di per sé un qualcosa dotato delle sue proprietà e non è un'astrazione. Paradossalmente, lo spaziotempo è esso stesso spaziotemporale ed è dotato sia di spazialità che di temporalità. Se trattiamo la temporalità come lo scandire del tempo e dunque il definire il tempo come un concetto quantitativo, è possibile dedurre che l'esigenza nell'uomo sia stata scoperta mano a mano tramite l'osservazione della natura, nonché attraverso i culti riservati ad essa; un esempio elementare potrebbe essere il culto solare. Questi eventi avvengono grazie alla pre-esistente simbologia mitica dovuta all'inconscio collettivo, nonché storico, quindi è una naturale conseguenza della questione dei miti. E questa esigenza innata nell'uomo è ed era presente già negli animali. Poi c'è tutto quello che dice Heidegger in "Essere e tempo", cioè che la temporalità è la dimensione fondamentale della cura, che a sua volta è la dimensione fondamentale dell'esserci. Quindi l'osservazione della natura va contestualizzata in una condizione pre-esistente. Gli uomini primitivi avevano un sistema astronomico molto sviluppato ed erano in grado di fare previsioni abbastanza accurate pur con una matematica rudimentale. Questo perché per loro lo studio del tempo coincideva con lo studio degli astri, principalmente perché credevano nell'astrologia e nell'influenza dei moti dei pianeti sulla vita umana e animale. Quindi la misura del tempo oltre ad avere una misura religiosa per quanto riguarda i culti, ne aveva anche una scientifica. In realtà non si può nemmeno facilmente distinguere tra le due forme, perché quella scientifica serviva a quella religiosa e viceversa. In ogni caso, la misura del tempo è sempre stata un'attività fondamentale per gli uomini, non a caso le miridiane furono tra i primi oggetti inventati, e gli uomini primitivi si diedero parecchio da fare per costruire osservatori astronomici. E questa condizione è pre-esistente perché gli stessi uomini sono animali. Con il culto del sole infatti l'uomo ha orientato la propria vita, alla stregua di altri animali, in relazione alla presenza della luce solare.
LA STRUTTURA ONTOLOGICA ORIGINARIA
Quindi, per concludere questa parte, dato che abbiamo una visione di insieme dell'ontologia, possiamo pertanto iniziare a strutturare una mappatura degli elementi che compongono la gerarchia dell'essere, che potremmo anche definire come struttura originaria:
- Essere: ammette l'esistenza delle proprietà che non possono essere escluse dall'essere ma solo esplicitate o implicitate. Una doppia negazione le esclude dall'essere per assurdo.
- Dialettica: discorso dell'essere.
- Proprietà: definiscono la differenziazione delle esistenze in base alle differenze dialettiche. Si potrebbero differenziare per la loro possibile tipologia di proprietà esistenziali:
- Logico: esistenze possibili.
- Fattuale: immaginazione.
- Essenziale: uguaglianza tra n e n.
- Temporale: proprietà prive di temporalità.
- Epistemica: sussistono spaziotemporalmente.
- Connettivi verofunzionali → permette le correlazioni tra proprietà:
- NOT
- AND
- OR
- XOR
- Implicazione
- Doppia implicazione
- Funzioni di verità con i valori di verità:
- Apofantico → vero.
- Apofantico → falso.
- Non apofantico → nullo.
- Archetipi ontologici → conferiscono la storicità all'essere (pre-tematizzazione, de-tematizzazione e tematizzazione):
- Espansione vs dissoluzione
- Compressione vs estensione
- Temporalità ontologica (con tutto ciò che ne consegue, dunque correlazione con le fasi storiche dell'autocomprensione dell'essere e dell'evoluzione dell'io e della tecnica, punto successivo).
- Storicità ontologica.
Nel prossimo articolo andremo ad indagare le posizioni di Feyerabend e di come sia arrivato alla conclusione per cui l'essere sia il fondamento di qualsiasi teoria.